方管系列

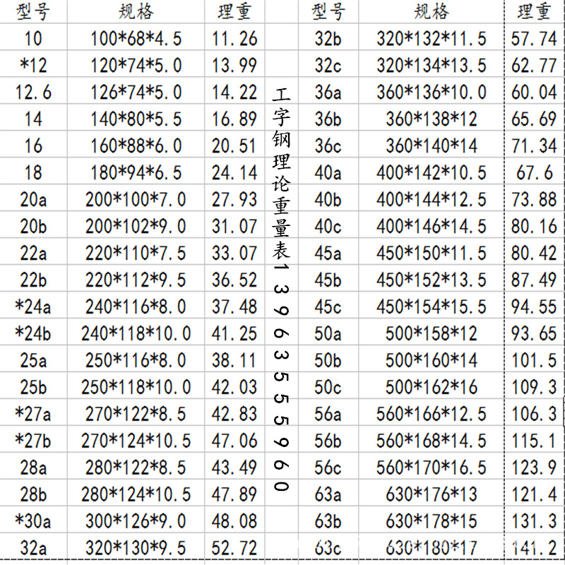
工字钢规格表价格

时间: 2025-08-03 19:54:21 |   作者: 江南电竞网页版登录


方管系列


  

工字钢规格表价格

  鞍山宝得厂家基于近来高炉生产不顺,暂计划于2月20号左右全线日左右。据Mysteel调研,预计影响型钢产量大约22万吨。现阶段厂内库存处于正常水平,且生产情况处于不饱和生产态势,型钢日产量较低,加之即将检修,整体仓库存储上的压力不大。河北、东北市场中,大多以宝得资源为主,为期40天的检修,贸易商或将提前囤货,尽可能的避免有单无货现象。综合看来,预计鞍山宝得型钢短期

  市场供需失衡遇上梅雨季,江西钢材贸易商在仓库存储上的压力与低迷成交中艰难前行。 六月伊始,江西型钢市场正式步入传统淡季。近期市场报价显示,唐山正丰5#角钢已跌至3390元/吨,唐山瑞兴16#槽钢报3360元/吨,鑫达20#工字钢3370元/吨,马钢H型钢则维持在3270元/吨水平,较五月中旬普遍下跌100-150元/吨。 与价格阴跌相伴的是成交量的持续萎缩,市场心态表现不佳。多位南昌贸易商反馈,当前询价单减量明显,库存出货不畅,社会库存积压严重,补库意愿几近冰点。

  经研究决定,在9月30日价格基础上,H型钢产品各区城价格统一上调100元,中型材产品各区域价格统一上调100元。价格具体如下: 华东市场:H型钢中小规格3700元/吨,大规格3740元/吨,重型规格4450元/吨:槽钢 3700元/吨,工字钢3700元/吨,角钢3730元/吨; 华中市场:H型钢中小规格3700元/吨,大规格3740元/吨,重型规格4450元/吨:槽钢3700元/吨,工字钢3700元/吨,角钢3730元/吨; 华南市场:H型钢中小规格3750元/吨,大规格3790元/吨,重型规格4500元/吨:槽钢 3700元/吨,工字钢3700元/吨,角钢3730元/吨: 西南市场:H型钢中小规格3750元/吨,大规格3790元/吨,重型规格4500元/吨。 以上价格均含税,代表材质规格为H型钢中小规格Q235B/200*200,大规格Q235B/600*200,重型规格Q235B/500*500,钢Q235B/14#,工字钢Q235B/14#,角钢 Q235B/14#。

  经研究决定,在9月29日价格基础上,H型钢产品各区域价格统一上调100元,中型材产品各区域价格统一上调100元。价格具体如下: 华东市场:H型钢中小规格3600元/吨,大规格3640元/吨,重型规格4350元/吨;槽钢3600元/吨,工字钢3600元/吨,角钢3630元/吨; 华中市场:H型钢中小规格3600元/吨,大规格3640元/吨,重型规格4350元/吨;槽钢 3600元/吨,工字钢3600元/吨,角钢3630元/吨: 华南市场:H型钢中小规格3650元/吨,大规格3690元/吨,重型规格4400元/吨:槽钢 3600元/吨,工字钢3600元/吨,角钢3630元/吨: 西南市场:H型钢中小规格3650元/吨,大规格3690元/吨,重型规格4400元/吨。 以上价格均含税,代表材质规格为H型钢中小规格Q235B/200*200,大规格Q235B/600*200,重型规格Q235B/500*500,槽钢Q235B/14#,工字钢Q235B/14#角钢 Q235B/14#。

  近日,受宏观利好政策刺激,黑色系期货盘面表现较强,原料钢坯也出现了相对明显的上涨行情。华南地区型钢市场行情报价上行表现积极,今日主流工字钢、角钢、槽钢市场行情报价涨幅在190-230元/吨。据贸易商反馈,在旺季需求相对改善的背景下,市场投机需求有所增加,叠加国庆节前适当补库,成交有所改善。目前市场仓库存储上的压力尚可,个别地区出现紧缺规格,短期基本面压力稍有缓解,但在需求没有强劲复苏之前,很难形成需求驱动,成材价格只能被动的跟随着原料的变化而变化。预计短期内华南型钢市场行情报价偏强运行,但行情的持续性有待进一步观察。

  厦门讯:17日开市,闽南市场型钢价格持稳运行,成交表现偏弱截止发稿:现角钢50*5#报价3450元/吨,槽钢16#报价3430元/吨,工字钢16#报价3430元/吨三钢H型钢300*300报价3320元/吨,700*300报价3390元/吨 今日期螺盘面震荡上行,整体成交寥寥市场方面,现货市场议价严重,部分规格缺货资源高价惜售,市场心态观望为主,个别优质客户优惠成交,目前询单量正常的情况,多受高温季节淡季影响,用钢需求并不高,贸易商逢低补库,优惠促出货,以回笼资金为主。

  合肥讯:15日合肥型钢市场行情报价持稳运行,截止发稿时,唐山正丰5#角钢3500元/吨,唐山瑞兴16#槽钢3500元/吨,唐山瑞兴20#工字钢3560元/吨,马钢200*200H型钢3320元/吨 今日开市,合肥型钢市场行情报价持稳运行,成交一般从盘面来看,本周期螺震荡运行,商贸为增加出货量,多加大优惠力度,整体成交一般;从目前来看,盘面的表现一般,下游谨慎观望,需求释放不明显;从库存来看,贸易商补库较少,多以缺货规格进行小量补库,常备库存维持正常偏低水平,成交优惠力度较大。

  合肥讯:8日合肥型钢市场行情报价持稳运行,截止发稿时,唐山正丰5#角钢3460元/吨,唐山瑞兴16#槽钢3460元/吨,唐山瑞兴20#工字钢3500元/吨,马钢200*200H型钢3190元/吨 今日开市,合肥型钢市场行情报价持稳运行,成交偏弱从盘面来看,期螺震荡下行,商贸为增加出货量,多加大优惠力度,整体成交偏弱;从目前来看,盘面的表现不佳导致下游谨慎观望,需求释放不明显;从库存来看,贸易商补库较少,多以缺货规格进行小量补库,常备库存维持正常偏低水平,成交优惠力度较大。

  Mysteel周报:广西钢材市场价格趋弱运行 预计下周价格或将震荡运行(6.20-6.27)

  型材方面:本周南宁型材价格商家报价趋弱运行,现翅冀工字钢20#报价3410元/吨,下游成交方面:近期市场需求表现欠佳,南宁地区施工进度整体偏慢,新增项目不足,消费难有大幅增长空间,价格向上驱涨动力不足下游补库现象延续缓势,钢企出货压力尚存,目前,贸易商仍以去库为主要基调综合看来,预计短期内南宁型钢市场行情报价或窄幅震荡运行 热卷方面:本周南宁热轧卷板价格弱势运行,主流规格普卷(Q235B 4.75*1500*C)成交价在3340-3350元/吨,较上周小幅下跌10-20元/吨,市场低合金加价150元/吨,实际成交可议。

  合肥讯:10日合肥型钢市场行情报价趋弱运行,截止发稿时,唐山正丰5#角钢3500元/吨,唐山瑞兴16#槽钢3500元/吨,唐山瑞兴20#工字钢3530元/吨,马钢200*200H型钢3370元/吨 今日开市,合肥型钢市场行情报价趋弱运行,成交偏弱从盘面来看,期螺震荡下行,商贸为增加出货量,多加大优惠力度,整体成交偏弱;从目前来看,盘面的表现不佳导致下游谨慎观望,需求释放不明显;从库存来看,贸易商补库较少,多以缺货规格进行小量补库,常备库存维持正常偏低水平,成交优惠力度较大。

  合肥讯:03日合肥型钢市场行情报价趋弱运行,截止发稿时,唐山正丰5#角钢3500元/吨,唐山瑞兴16#槽钢3500元/吨,唐山瑞兴20#工字钢3530元/吨,马钢200*200H型钢3370元/吨 今日开市,合肥型钢市场行情报价趋弱运行,成交偏弱从盘面来看,期螺震荡下行,商贸为增加出货量,多加大优惠力度,整体成交偏弱;从目前来看,盘面的表现不佳导致下游谨慎观望,需求释放不明显;从库存来看,贸易商补库较少,多以缺货规格进行小量补库,常备库存维持正常偏低水平,成交优惠力度较大。

  南昌讯:27日南昌肥型钢市场行情报价趋弱运行,截止发稿时,唐山正丰5#角钢3480元/吨,唐山瑞兴16#槽钢3480元/吨,鑫达20#工字钢3460元/吨,马钢200*200H型钢3330元/吨 今日开市,南昌型钢市场行情报价趋弱运行,成交偏弱从盘面来看,期螺震荡下行,钢厂下调价格,现货市场纷纷跟调;从需求来看,盘面表现不佳,市场询单量减少,整体出货不畅;从库存来看,贸易商补库意愿不强,多以缺货规格进行小量补库,保证规格齐全即可。

  合肥讯:27日合肥型钢市场行情报价趋弱运行,截止发稿时,唐山正丰5#角钢3540元/吨,唐山瑞兴16#槽钢3540元/吨,唐山瑞兴20#工字钢3570元/吨,马钢200*200H型钢3370元/吨 今日开市,合肥型钢市场行情报价趋弱运行,成交偏弱从盘面来看,期螺震荡下行,商贸为增加出货量,多加大优惠力度,整体成交偏弱;从目前来看,盘面的表现不佳导致下游谨慎观望,需求释放不明显;从库存来看,贸易商补库较少,多以缺货规格进行小量补库,常备库存维持正常偏低水平,成交优惠力度较大。

  绵阳工字钢昆山工字钢德宏工字钢昆明工字钢最新报价废旧工字钢价格云南20号工字钢价格河南钢筋工字钢价格

上一篇:2025年5月9日成都市场主要H型钢价格行情汇总
下一篇:5家钢厂下调废钢采购价10-30元